Πρωτιά της ΕΚΟ στη δημοσίευση Περιβαλλοντικών Δηλώσεων Προϊόντων (EPDs) για τα λιπαντικά της
Ιωάννινα: Οδηγούσε αυτοκίνητο ενώ του είχε αφαιρεθεί η άδεια οδήγησης
Συνεδριάζει το Δημοτικό Συμβούλιο Αρταίων την Δευτέρα 20 Απριλίου
«Όραμα Δημιουργίας»: Πόρισμα–καταπέλτης για τον Συνεταιρισμό Αθαμανίου από το Υπουργείο Αγροτικής Ανάπτυξης
Υπερυπολογιστής της NASA προβλέπει πότε θα έρθει το «Τέλος του Κόσμου» - Είναι νωρίτερα από ότι περιμέναμε
Παρεμβάσεις Γ. Στύλιου στον Υπουργό Υγείας για το Νοσοκομείο Άρτας

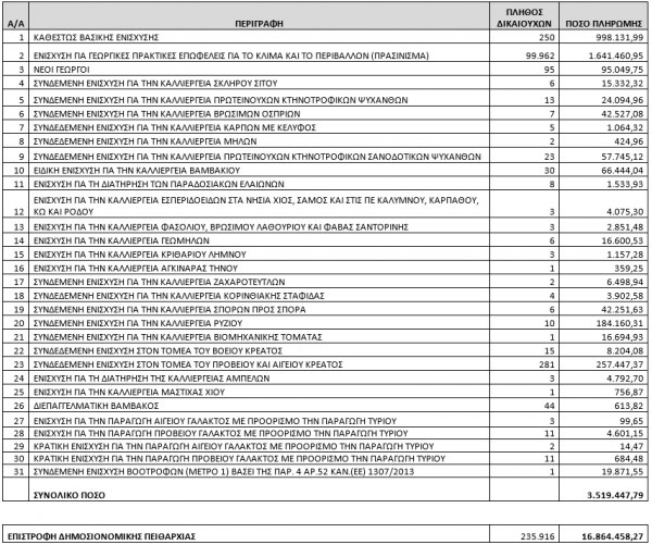
Συνολικά 20,3 εκατ. ευρώ καταβάλει σήμερα ο Ο.Π.Ε.Κ.Ε.Π.Ε., σε δικαιούχους για τα καθεστώτα των άμεσων ενισχύσεων και των ενισχύσεων μικρών νησιών του Αιγαίου και για επιστροφή της δημοσιονομικής πειθαρχίας.
Συγκεκριμένα, ο Ο.Π.Ε.Κ.Ε.Π.Ε., συνεχίζοντας την εύρυθμη λειτουργία του, ως αποτέλεσμα της πολιτικής που ασκείται από την συνεργασία του ΥΠΑΑΤ Σπήλιου Λιβανού και της Διοίκησης υπό τον κ. Δημ. Μελά, ολοκλήρωσε τον υπολογισμό πληρωμής συνολικού ποσού 3.519.447,79 ευρώ για τα καθεστώτα των άμεσων ενισχύσεων και των ενισχύσεων στα μικρά νησιά Αιγαίου Πελάγους (ΜΝΑ) για τις αιτήσεις του 2020. Οι ενισχύσεις θα πιστωθούν σταδιακά στους λογαριασμούς των δικαιούχων, μαζί με την επιστροφή της δημοσιονομικής πειθαρχίας ύψους 16.864.458,27€. Με την πληρωμή αυτή, ο Οργανισμός ολοκληρώνει τις πληρωμές για τις αιτήσεις 2020, έχοντας καταβάλλει συνολικά το ποσό των περίπου 2 δισ. ευρώ.
Οι πληρωμές καταβάλλονται σύμφωνα με τον παρακάτω πίνακα:
Υπενθυμίζεται ότι για την ενημέρωσή τους σχετικά με τις πληρωμές, οι ενδιαφερόμενοι μπορούν να:
• έχουν προσωποποιημένη πληροφόρηση μέσω της εφαρμογής «Καρτέλα του Αγρότη» (https://osdeopekepe.dikaiomata.gr/FarmersTab), κάνοντας χρήση των προσωπικών κωδικών που έχουν για την πρόσβαση στις υπηρεσίες του ΟΠΕΚΕΠΕ, καθώς και μέσω της εξειδικευμένης εφαρμογής «Δημοσιοποίηση Πληρωμών» (https://dip.opekepe.gr) με χρήση των κωδικών πρόσβασης στο Πληροφοριακό Σύστημα του Υπουργείου Οικονομικών (taxisnet) ή, να απευθύνονται στους φορείς υποβολής των αιτήσεων ενίσχυσης, στο αυτοματοποιημένο τηλεφωνικό κέντρο εξυπηρέτησης του ΟΠΕΚΕΠΕ (2108802000) και στο τηλεφωνικό κέντρο εξυπηρέτησης του ΥΠΑΑΤ (1540) το οποίο λειτουργεί τις εργάσιμες ημέρες από τις 09:00 έως τις 17:00.
